Helicity-dependent Proton PDFs

Recent highlights from JAM analyses of helicity-dependent proton PDFs (click images for enlargement).

POLARIZED ANTIMATTER IN THE PROTON FROM GLOBAL QCD ANALYSIS

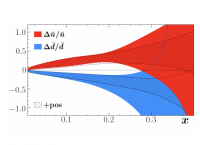
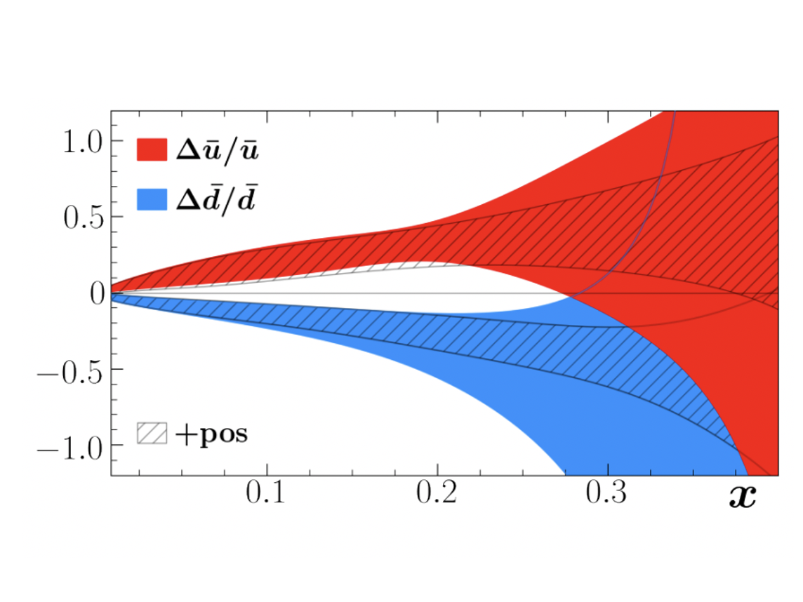
The JAM collaboration has presented a new global QCD analysis of spin-dependent PDFs that includes the latest W-boson production data from polarized proton-proton collisions. These data allow the first data-driven extraction of a nonzero polarized light antiquark asymmetry, Δ - Δ with minimal theoretical assumptions. The analysis simultaneously extracts polarized PDFs, unpolarized PDFs, and pion and kaon fragmentation functions, allowing a self-consistent set of antiquark polarization ratios Δu̅/u̅ and Δd̅/d̅ to be determined.

HOW WELL DO WE KNOW THE GLUON POLARIZATION IN THE PROTON?

A new JAM paper reports the first simultaneous global QCD analysis of spin-averaged and spin-dependent PDFs, including jet production data from unpolarized and polarized hadron collisions. The paper critically assesses the impact of SU(3) flavor symmetry and PDF positivity assumptions on the quark and gluon helicity PDFs and finds strong bias from these, particularly on the gluon polarization. The simultaneous analysis allows for the first time extraction of individual helicity-aligned and antialigned PDFs with a consistent treatment of uncertainties.

REVISITING QUARK AND GLUON POLARIZATION IN THE PROTON AT THE EIC

The impact of future EIC data for parity-conserving and parity-violating polarization asymmetries on quark and gluon helicity distributions in the proton was addressed in a new study. The study explored the role of the extrapolation uncertainty and SU(3) flavor symmetry constraints in the simulated double-spin asymmetry ALL at small parton momentum fractions x and its effect on the extracted parton polarizations. Different assumptions about ALL extrapolations and SU(3) symmetry were found to have significant consequences for the integrated quark and gluon polarizations, for polarized proton, deuteron and 3He beams, while for the parity-violating asymmetry, AUL, the study found the potential impact on the polarized strange quark distribution was ultimately limited by the EIC machine luminosity.

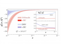
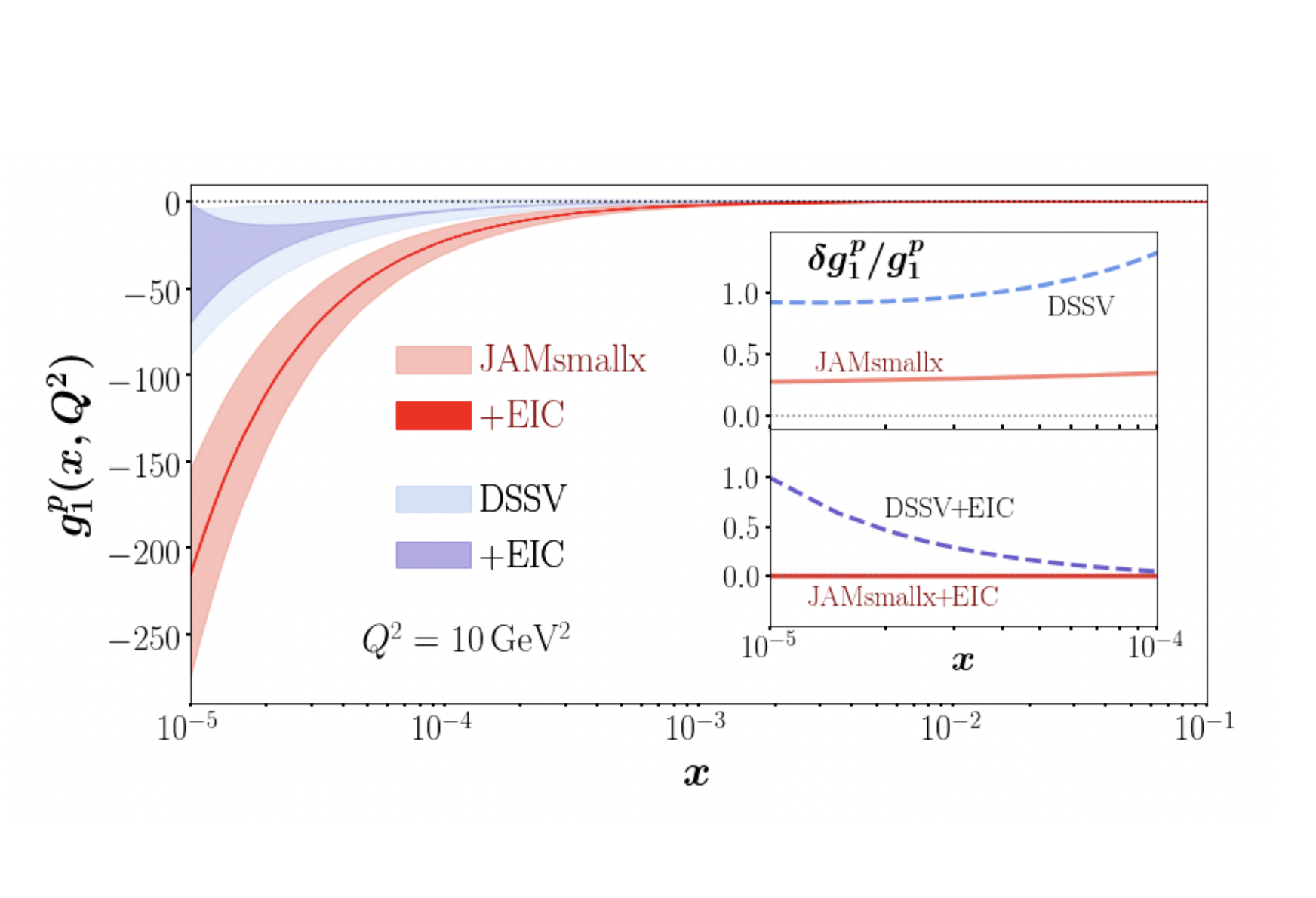
FIRST ANALYSIS OF POLARIZED DIS DATA WITH SMALL-X HELICITY EVOLUTION

The JAM collaboration has presented a Monte Carlo-based analysis of the combined world data on polarized lepton-nucleon deep-inelastic scattering at small Bjorken-x within the polarized quark-dipole formalism. The analysis shows for the first time that double-spin asymmetries at < 0.1 can be described using only small-x evolution, allowing predictions to be made for the g1 structure function at much smaller x. Anticipating future data from the Electron-Ion Collider, the paper also assesses the impact of electromagnetic and parity-violating polarization asymmetries on g1, as well as demonstrates an extraction of the individual flavor helicity parton distributions at small x.

POLARIZED ANTIMATTER IN THE PROTON FROM GLOBAL QCD ANALYSIS

The JAM collaboration has presented a new global QCD analysis of spin-dependent PDFs that includes the latest W-boson production data from polarized proton-proton collisions. These data allow the first data-driven extraction of a nonzero polarized light antiquark asymmetry, Δ - Δ with minimal theoretical assumptions. The analysis simultaneously extracts polarized PDFs, unpolarized PDFs, and pion and kaon fragmentation functions, allowing a self-consistent set of antiquark polarization ratios Δu̅/u̅ and Δd̅/d̅ to be determined.

HOW WELL DO WE KNOW THE GLUON POLARIZATION IN THE PROTON?

A new JAM paper reports the first simultaneous global QCD analysis of spin-averaged and spin-dependent PDFs, including jet production data from unpolarized and polarized hadron collisions. The paper critically assesses the impact of SU(3) flavor symmetry and PDF positivity assumptions on the quark and gluon helicity PDFs and finds strong bias from these, particularly on the gluon polarization. The simultaneous analysis allows for the first time extraction of individual helicity-aligned and antialigned PDFs with a consistent treatment of uncertainties.

REVISITING QUARK AND GLUON POLARIZATION IN THE PROTON AT THE EIC

The impact of future EIC data for parity-conserving and parity-violating polarization asymmetries on quark and gluon helicity distributions in the proton was addressed in a new study. The study explored the role of the extrapolation uncertainty and SU(3) flavor symmetry constraints in the simulated double-spin asymmetry ALL at small parton momentum fractions x and its effect on the extracted parton polarizations. Different assumptions about ALL extrapolations and SU(3) symmetry were found to have significant consequences for the integrated quark and gluon polarizations, for polarized proton, deuteron and 3He beams, while for the parity-violating asymmetry, AUL, the study found the potential impact on the polarized strange quark distribution was ultimately limited by the EIC machine luminosity.

FIRST ANALYSIS OF POLARIZED DIS DATA WITH SMALL-X HELICITY EVOLUTION

The JAM collaboration has presented a Monte Carlo-based analysis of the combined world data on polarized lepton-nucleon deep-inelastic scattering at small Bjorken-x within the polarized quark-dipole formalism. The analysis shows for the first time that double-spin asymmetries at < 0.1 can be described using only small-x evolution, allowing predictions to be made for the g1 structure function at much smaller x. Anticipating future data from the Electron-Ion Collider, the paper also assesses the impact of electromagnetic and parity-violating polarization asymmetries on g1, as well as demonstrates an extraction of the individual flavor helicity parton distributions at small x.